应用文章
产品推荐
应用文章
什么是电磁屏蔽箱谐振?如何避开谐振选择适合自己的电磁屏蔽箱
- 发布时间:2026-02-27 16:17:15
电磁屏蔽箱谐振本质上是金属屏蔽腔体的内部电磁驻波共振现象。当屏蔽箱的物理尺寸等于或接近入射电磁波半波长的整数倍时,箱内会形成稳定的、高强度分布的电磁场模式,导致在特定频率点(谐振频率)上,箱体的屏蔽效能(SE)急剧下降,且内部场强分布极度不均匀。

关键比喻:声学共振室
想象一个四周都是硬墙的封闭房间(就像屏蔽箱)。你在房间里发出一个特定音调(特定频率的声波)。当这个音调的波长刚好与房间的尺寸匹配时,声音会在墙壁间来回反射、叠加,在房间的某些位置声音变得异常响亮(波腹),某些位置则几乎听不见(波节)。这就是声学驻波共振。
电磁屏蔽箱(OI-ES系列专业版电磁屏蔽箱)的谐振原理与此完全类似,只不过共振的是电磁波。
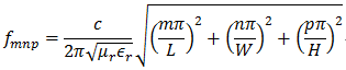
产生原理与数学模型
一个矩形屏蔽箱(这是最常见形状)的谐振频率可以通过以下公式计算:
其中:
fmnp: 谐振频率(Hz)
c: 真空中的光速(~3×10⁸ m/s)
μr,εr: 箱内填充介质的相对磁导率和相对介电常数(空气通常为1)
L,W,H: 屏蔽箱内部的长、宽、高(米)
m,n,p: 模态指数,为非负整数(0,1,2,3...),代表在三个维度上的半波数。不能同时有两个为0。
举个例子:一个内部尺寸为 0.5m (L) × 0.3m (W) × 0.2m (H) 的电磁屏蔽箱。
其最低谐振频率(主模,通常是TE₁₀₁或TE₀₁₁)出现在数百MHz。例如,当 m=1, n=0, p=1 时,计算出的频率大约在 424MHz 左右。这意味着在424MHz附近,箱体很容易被激励起强烈的谐振。
谐振对EMI测试造成的两大主要问题
1、屏蔽效能“黑洞”与虚假辐射
在谐振频率点,外部环境噪声(如手机信号)更容易穿透进入箱内,抬高了本底噪声,可能导致你误判EUT的辐射超标。
反之,EUT产生的辐射在谐振频率下也更易泄漏出去,但更重要的是,箱内谐振会显著放大EUT本身的辐射。你测到的峰值可能远大于EUT在自由空间或暗室中的实际值,导致“过度整改”——为解决一个虚假的、“被箱体放大”的问题而徒劳地修改设计。
2、场强分布极度不均与“位置敏感性”
谐振时,箱内电磁场形成稳定的驻波图案,存在场强极大点(波腹) 和场强极小点(波节)。
如果EUT或接收天线恰好位于波腹,测得的信号会异常偏大。
如果移动EUT或天线几厘米到波节位置,测得的信号可能骤降几十dB。
这使得测试结果不可重复、不可靠。同一个EUT,在箱内放的位置或朝向不同,测出的“辐射频谱”可能天差地别,完全无法用于有效的诊断对比
在选择电磁屏蔽箱尺寸时,我们不仅要考虑屏蔽箱内部使用空间,也要考虑我们实际使用的频率范围,避免需要使用的频率点在屏蔽箱谐振点附近。为此海洋仪器推出了OI-ESA系列基础版电磁屏蔽箱、OI-ESS系列标准版电磁屏蔽箱、OI-ES系列专业版电磁屏蔽箱、OI-GTEM系列GTEM小室来应对您的不同需求,如果您还有特殊需求,我们同样支持尺寸定制。
版权声明:本资料属于北京海洋兴业科技股份有限公司所有,如需转载,请注明出处!
- 上一篇:电磁屏蔽箱在电磁干扰(EMI)诊断中的应用
- 下一篇:没有了









